Samples Tested
Results
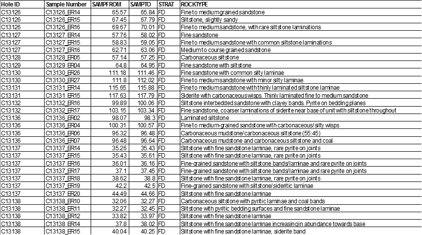
Table 1 - AEISG Test Results
Table 2 - QMR Test Results
Figure 1 -C13136_ER07 showing coal and pyrtite under microscope:
Figure 2-C13128_ER05 showing coal and pyrtite under microscope:
Figure 3 – Sample C13138-ER10 observation of core showing coal and pyrite:
Figure 4 – AEISG test result marginal for isotherm of sample C13138-ER11:
Figure 5– AEISG test result not reactive for isotherm of sample C13128-ER05:
Each sample was assessed for reactivity risk based on pH, carbonate content, reactive sulphide content and coal content using the QMR Reactive Ground Test. Samples C13128_ER05 and C13138_ER10 have more than 12% reactive sulphide but also are mostly coal which inhibits a reaction. Samples C13136_ER06 and C13136_ER07 also have high levels of sulhide and host coal is buffering a reaction. Should these samples become weathered and acidic they will be highly reactive. Blast holes should not be left open for a long period of time and sleep time should be minimised so as to prevent this ground from being weathered. Weathering will cause the oxidation of the pyrite resulting in acidic conditions caused a reaction and may wash away the coal that is currently acting as an inhibiter also causing a reaction
AEISG testing result are sample that C13138_ER11 is marginal and all other samples are not reactive.
Conclusion:
All samples were found to be not reactive when tested as per the AEISG Code of Practice. The QMR test has identified samples C13128_ER05 and C13138_ER10 will become highly reactive if allowed to weather. The QMR test identified Samples C13136_ER06 and C13136_ER07 wll also become reactive if allowed to weather.
ONGOING TESTING:
This report identifies that the samples with high reactive sulphide have a lower pH than samples with low or no reactive sulphide due to acid produced by sulphide weathering. See sample C13138_ER10 when a water is poured over sample and dried showing highly acidic sulphate crystals (refer to Figure 6). As the sample weathers the samples will become more acidic. The risk is that this material will fall into the top of blast hole during loading and result in reaction. These samples will test as not reactive when tested as per the AEISG code of practice because coal acts as an inhibiter and samples have not weathered. Milled samples C13128_ER05 and C13138_ER10 will be left open to weather for a month then retested to confirm reactivity by AEISG testing after weathering.
Figure 6:
Sample C13138_ER10 was placed in a watch glass (top) and a small amount of water poured on. Microscopic examination (bot) showed that this produced highly acidic sulphate crystals
Assessed By:
Dr G. Cavanough
Date:
18th September 2024
References:
• Test data files: rga21. csv, templog21.csv, templog22b.csv, rga22b.csv, first30.xlxs and tables.xlxs
